计算系统生物学实验室
首页
Home
软件
Database
TCMSP
CancerHSP
CVDSP
PreDC
关于我们
About
发表文章
Publications
引用查询
Reference
专利展示
Patents
工具
Tools
平台应用
Platform
「TCMSP3.0升级版课程,开课了!」历经10年TCMSP原始创新团队,十年砺剑,助您破局!欢迎大家踊跃报名!
TCMSP MENU
How to search (Movie tutorial)
TCMSP User Guide
Browse Database
Highlights
Parameter Information
Comparison with other TCM databases
Cited by other articles
TCMSP update log
Contact us
About TCMSP
Herb name
Chemical name
InChIKey
CAS
Target name
Disease name
Molecule Information
Molecule ID
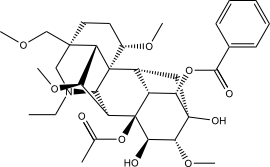
MOL004748
Molecule name
3-deoxyaconitine
Download structure
(click to download)
Pharmacological and molecular properties data
InChIKey
PHASMOUKYDUAOZ-XSPQKPIWSA-N
Pubchem Cid
N/A
CAS
♦ 3175-95-9
Molecule synonyms
Related diseases
Related targets
Related Herbs
"
to top